アドヒージョン株式会社

TOP > 基礎技術解説 > AFMを用いた微小固体のヤング率測定

基礎技術解説分析・評価・解析

AFMを用いた微小固体のヤング率測定

高分子パターンの強度設計のために、パターン自体の機械的特性を直接測定する必要がある。特に、固体材料のヤング率(弾性率)は、変形・硬さ・破壊を解析する上で重要な物性値である。ヤング率の測定は、通常、薄膜あるいは棒状の試料を用いて応力-歪特性から求める。しかし、微細な高分子パターンのヤング率を実測することは困難であった。ここでは、AFM探針を用いて基板上に形式されている高分子パターンに直接荷重を加えることでヤング率を実測する。下の左図には、高分子パターンの電子顕微鏡(SEM)写真を示している。この高分子材料の主成分はスチレン系の樹脂である。この高分子パターンは、円筒形に近い形状を有しており、ヤング率測定に適している。

レジストパターンのSEM写真(直径85nm)
レジストパターンのSEM写真(直径85nm)
レジストパターンとAFM探針との連結ばねモデル
レジストパターンとAFM探針との連結ばねモデル

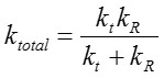
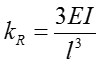
まず、AFMを用いて高分子パターンのヤング率を直接解析する手法について述べる。上の右図に、高分子パターンのヤング率解析の概要を示している。AFM探針と高分子パターンを連結ばねモデルとして近似することで、弾性特性を解析している。これによると、系全体のばね定数ktotalは下式(1)のように表すことができる。

式(1)

但し、

式

ここで、kt はカンチレバーのばね定数、E は高分子パターンのヤング率、I は断面2次モーメント、 l はパターン高さである。AFM探針により直接荷重を加えた場合のパターンの変形特性を連結ばねモデルに基づき解析する。下図は、円筒形の高分子パターンに対してヤング率を解析した結果を示している。図中、曲線は式(1)で得られる基本特性であり、高分子パターンのヤング率をパラメータにして計算されている。これにAFMで実測したパターン変形率をプロットすることで、高分子パターンのヤング率を求めることができる。右図の場合、高分子パターンのヤング率を1.2GPaとして決定することができる。この値は、ポリスチレン(2.7~4.2GPa)、ポリエチレン(0.4~1.3GPa)などの高分子材料に近い値である。

レジストパターンの荷重―変位曲線
レジストパターンの荷重―変位曲線

今後、高分子パターンのようなミクロな構造体の物性および特性の信頼性の確立が求められるAFMに代表される微細領域での解析技術の重要性は、さらに高まると考えられる。

参考文献

お問い合わせはこちらから

ページのトップへ戻る