アドヒージョン株式会社

TOP > 基礎技術解説 > 相互作用力を実測し付着力を推定する

基礎技術解説分析・評価・解析

相互作用力を実測し付着力を推定する

界面の付着とは、付着要因と剥離要因とのバランスに基づく安定状態を意味する。付着状態を維持するには、付着要因が優勢となる必要がある。付着力の起源は、表面に存在する分子間の相互作用に起因する。溶剤を蒸発させる程度の熱処理では、表面間の化学結合は生じにくい。そのため、付着力を増大させるには、作用する表面の分子数密度と分極率を高め、かつ、相互作用距離を短くすることが効果的である。ここでは、界面の付着現象をミクロレベルに掘下げて、その要因を解析する。また、界面の実効接着面積について考察する。さらに、原子間力顕微鏡(AFM)を用いて、実際の表面間の相互作用力を解析し、未知の表面間の付着力を予測する。

界面の付着要因には、水素結合やファンデルワールス力に代表される分子間力、表面エネルギー、表面の凹凸に起因するアンカー効果、境界水に働くラプラス力などがある。また、剥離要因には、熱膨張の差に起因する熱応力、結晶格子の界面歪みによる真応力、界面のナノ空隙、塗膜への溶液浸透などが考えられる。これらの要因が単独で作用することは少なく、複数の要因が同時に作用する。界面の付着状態は、下図のように、付着要因が優勢であれば維持され、剥離要因が上回れば界面は分離する。これらの要因は、単位面積当たりのエネルギーとして解析し、定量的な界面評価が可能である。付着トラブルの対応策として、付着力の増大よりも、応力などの剥離要因を緩和が効果的であるケースが多い。また、塗膜や基板の凝集破壊が剥離原因である場合、基板の表面処理は効果的でない。よって、付着トラブルが生じた場合、剥離界面の観察を最優先し、破壊起点や剥離モードなどのデータ収集がトラブル解決策に必要である。

界面付着に関わる要因
界面付着に関わる要因

基板上に塗膜がコーティングされると、その付着界面を観察するのは難しい。通常、付着面積は塗膜と基材の接触面積が用いられる。しかし、塗膜界面の全てが付着に寄与しているとは限らない。ここでは、付着界面を詳細に観察する。下の左図は、原子間力顕微鏡(AFM)の微細探針を用いて、シリコン基板上に形成された微細レジストパターンを倒壊させた写真である。レジストパターンの線幅は0.6μmで高さは1.0μmである。このレジスト材料は、ノボラック樹脂、感光剤、溶剤の混合物である。パターン倒壊により、これまで観察できなかったパターン底面が確認できる。パターン底面には微細な窪みが多数存在しており、これらの構造は基板との界面付着に影響すると考えられる。パターンが付着していたSi基板表面にはレジスト残さはないため、パターン倒壊はパターンの凝集破壊に起因するものではない。すなわち、塗膜の乾燥時に残留溶剤が蒸発した際に、このようなポーラス構造が形成されたと考えられる。界面にポーラス構造が存在すると、下の右図のように、基板との相互作用距離が局所的に長くなり、界面の付着に寄与しなくなる。よって、レジストパターンとシリコン基板間の実効付着面積は低くなる。下の左図の場合の実効付着面積は50%程度である。次に、原子間力顕微鏡(AFM)を用いて、界面における相互作用力および付着力を直接解析する。

界面の付着構造(SEM写真)
界面の付着構造(SEM写真)
付着界面モデル
付着界面モデル
AFM装置の基本構成
AFM装置の基本構成

原子間力顕微鏡(AFM)に関する初期の研究は、測定の分解能や安定性の向上、および探針と表面間の相互作用に関する基本的な研究が多かった。しかしながら、現在では、下の左図に示されるような様々な分野の応用技術の解析手段として用いられる。ここでは、まず、右図のAFMの装置構成について説明する。AFMは、次の三つの要素から構成されている。(ⅰ)ナノメーターの精度で試料位置を三次元に移動できるピエゾ素子、(ⅱ)試料表面の相互作用力を検出するカンチレバーおよび探針、(ⅲ)カンチレバーのたわみ量を検出するレーザー光学系。ここで、カンチレバーにはSi3N4膜などが多く用いられ、その長さは200μm、厚さは20μm程度である。その先端には、長さ20μmで先端曲率半径25nmのピラミダル型の微細探針がマウントされている。探針の先端角は69°である。これらの探針先端のSEM写真を下の右図に示す。

AFMの応用分野
AFMの応用分野
AFM探針のSEM観察像
AFM探針のSEM観察像

AFMによる付着力測定の基本となるフォースカーブについて説明する。下の左図はフォースカーブの一例を示している。これは横軸にピエゾステージの移動距離をとり、縦軸にレバーのたわみから換算した力(引力と斥力)を示している。ここで、カンチレバーが試料側にたわんでいる場合を引力とし、逆に反る場合を斥力として定義する。今、試料が探針から十分に離れている場合、レバーのたわみはゼロである。その後、ステージが上昇して探針に試料表面が近づくと、探針は試料表面に引き込まれて接触する。この時の力F1(N)をjump-in力と呼ぶ。さらにステージが上昇すると、カンチレバーは水平位置を過ぎて、上向きに反ることになる。実際の固体表面形状の観察は、この状態で行われることが多い。このとき、0.1N/m程度のばね定数を有するカンチレバーで表面測定をした場合は、試料表面を傷つけることなく測定することが可能である。その後、再びステージを下げると、水平位置を過ぎても探針は試料表面に吸着したままとなる。そして、最大の吸着力を示した後に、探針は試料表面から離れることになる。これが一連のカンチレバーの動作となる。光学系により測定したカンチレバーの撓みとばね定数から、探針の最大の吸着力F2(N)を求めることができる。この最大の吸着力は、一般に、pull-off力、あるいは、jump-out力ともいわれているが、二物体間に働くファンデルワールス(vdW, van der Waals)相互作用における引力の最大値に相当する。vdW力はあらゆる物質の表面間に働く電子雲の重なりを伴わない相互作用力であり、一組の電気双極子間に作用する。よって、電気双極子モーメントを生じるあらゆる物質間、原子間およびプラズマ間に対して、基本的に作用する力である。AFMの探針と試料間のvdW相互作用においても、同様なメカニズムが成り立つ。微小凝集体のvdW力の測定として、Larsonらのように,直径10μm程度の球状粒子をカンチレバーに取り付け,溶液中での粒子の付着挙動をDLVO (Derjaguin-Landau-Verwey-Overbeek) 理論を用いて解析した報告も多くされている。

フォースカーブ
フォースカーブ
探針の吸着力と表面エネルギー成分との相関
探針の吸着力と表面エネルギー成分との相関

AFM探針の吸着力と固体の表面自由エネルギーとの相関について考察する。上の右図は接触角法で測定した各薄膜の表面自由エネルギーの分散および極性成分と、AFMで測定した探針の吸着力との関係を示したものである。吸着力Fは極性成分γpに強い相関を示し、分散成分γdにはあまり感度を有さないことがわかる。結果として、各成分の和である表面自由エネルギーγは、吸着力Fに正の相関を示すことになる。これは、探針の材質であるSi3N4の極性成分γpが分散成分γdに比べ高いため、固体表面の極性成分γpの変化に敏感に対応したものと考えられる。よって、AFM探針を用いることにより、固体表面の極性および分散成分などの相互作用の解析が可能になる。

AFMにより測定した親水化および疎水化Si表面での相互作用
AFMにより測定した親水化および疎水化Si表面での相互作用

単分子層を形成するHMDS(ヘキサメチルジシラザン)処理による表面に対して相互作用力を解析する。この疎水化表面は、純水の接触角で100度程度を示す。また、酸素プラズマ処理を施したSi基板も用いる。この処理は、純水の接触角が0度を示す極端な親水化表面となる。これらの基板を用いて、AFM探針と疎水化・親水化表面との相互作用を解析できる。上図は、AFM探針の相互作用力の測定結果を示している。レナード・ジョーンズポテンシャルカーブに基づき、互いの距離が短くなるにつれて、相互作用力が変化している。また、相互作用曲線において、疎水化および親水化処理の影響が顕著に現われており、各固体の表面エネルギーの相互作用として定量解析できる。表面エネルギーγは分散成分γdと極性成分γpとの和として表すことができる。そして、相互作用エネルギーWは、以下の式のような各成分の二乗平均の和で表される。

式

ここで、HMDS単分子膜による疎水化処理は、γdを増加させる効果があり、酸素プラズマによる親水化処理はγを増加させる効果がある。これらをもとに、得られた相互作用をまとめると下の左図のようになる。極性成分の高いSi製探針は、極性の高い酸素プラズマ処理面との相互作用が高く、分散成分の高いAu探針は、HMDS処理による疎水化表面と強い相互作用を有する。

表面エネルギー成分により表した相互作用力解析
表面エネルギー成分により表した相互作用力解析
探針法による2表面間の付着力推定
探針法による2表面間の付着力推定

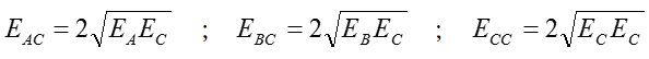
固体間の付着強度を非破壊的に推定することは、研究および産業上有用である。ここではAFM探針と固体表面との相互作用を利用して、未知の表面間の付着強度を推定する。上の右図において、薄膜Aと薄膜B間の未知の付着力を推定する。ここで薄膜Cは、探針材料であるSi3N4薄膜である。AFM探針と三種類の薄膜間の相互作用を、それぞれEAC、EBC、ECCで表す。これらの値は、フォースカーブ測定により求められる探針の吸着力(pull-off力)に相当する。また、相互作用に寄与する各薄膜表面の因子を、それぞれEA、EB、ECとする。これらは、測定不可能な物理量である。ここで、これらのパラメータ間の関係を下式で表す。

式

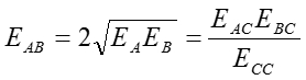
よって、薄膜Aと薄膜B間の相互作用エネルギーEABは、下式で表される。

式

これにより、AFM探針により各表面での吸着力を測定し、EAC、EBC、ECCを求めることで、固体表面間の相互作用因子EABを計算で求めることができる。下図には上式で求めた相互作用エネルギー(推定付着エネルギー)と、引っ張り試験によるレジストと各薄膜間の接着強度との相関を示している。これら二つの物理量には正の相関がある事から、AFMにより未知の表面間の接着力を推定できる。

推定付着エネルギーと剥離強度との相関
推定付着エネルギーと剥離強度との相関

ここでは、付着現象に関わる相互作用力について、原子間力顕微鏡(AFM)を用いた解析を中心に解説した。表面処理や材質に依存した表面間の相互作用力を実測できることを示すとともに、これらを用いて、未知の表面間の付着力の推定が可能となる。このように、付着に関わる要因を直接測定することで、さらなる高品位な付着制御性が拡大する。

参考文献

お問い合わせはこちらから

ページのトップへ戻る