アドヒージョン株式会社

TOP > 基礎技術解説 > 水素結合成分による高分子膜の相互作用解析

基礎技術解説分析・評価・解析

水素結合成分による高分子膜の相互作用解析

塗膜の表面エネルギーは、付着、濡れ、被覆性などの重要な性質に強く関与する物理量である。通常、固体の表面エネルギーの2成分として、分散と極性成分を用いて解析する場合が多い。ここでは、極性成分の中の水素結合成分を分割して3成分として解析する。よって、付着エネルギーWaは次式のように表す事ができる。

式
式

ここで添字d,p,hは、それぞれ、分散(非極性)、極性、及び水素結合成分を表している。これらは、γの値が分かっている標準液を用いて各表面のエネルギー成分を求める事ができる。下の左図は接触角法で求めた無機基板表面の表面エネルギーの各成分、表面エネルギー、及びSi3N4探針に対する接着エネルギーを示している。分散成分は各基板間で大きい差はなく、約20mJ/m2の値となっている。又、有機物であるフォトレジストは大きい分散値を示している。極性成分は3成分の中で一番低い値を示しているが、各基板間の有意差が現れている。特にSi、Al又はHMDS処理をした基板では低い値を示し、SiO2, BPSG, Si3N4等の極性基板は比較的高い値となっている。水素結合成分は各基板間の有意差が一番大きい成分であり、その傾向は極性成分と似ているが値は大きい。固体の表面エネルギーはその極性、水素結合成分によって有意差が生じるが、分散成分には依存しない事がわかる。また、探針と表面間の接着エネルギーに関しても同様の事が成り立ち、接着エネルギーの有意差は主に極性と水素結合成分による事ことがわかる。

各基板の表面エネルギーと接着エネルギー
各基板の表面エネルギーと接着エネルギー
探針の引力と表面エネルギーとの相関
探針の引力と表面エネルギーとの相関
引力F2と表面エネルギー成分との相関
引力F2と表面エネルギー成分との相関

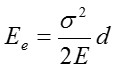
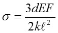
上の右図はAFMによる2つの表面力F1,F2と表面エネルギーとの相関を示している。探針が表面に近づく際に生じる引力F2と表面エネルギーには正の相関がみられている。高い表面エネルギーを有するBPSGやSiO2などは大きい引力値F2を示し、低い表面エネルギーを有するAlやSiに対しては低い引力を示す。すなわち、熱力学的な表面エネルギーは二物体が接触した際のエネルギー的平衡を主体としているため、二物体が離れている時の相互作用を表すものではない。よって二物体が離れている際の相互作用であるF1とは相関を示さないことが説明できる。又、引力F2はF1に比べ約100倍高い値を示している。また、引力F2が0の時に、表面自由エネルギーは約25mJ/m2の有限の値を示しているのがわかる。これより、表面エネルギーのある成分が探針と相互作用をしていないと考えられる。以上のように、探針によるプローブ法を用いる事によって、固体の表面エネルギーの検出が可能となる。右図には引力F2と表面エネルギーの各成分値との相関をしめしている。図より極性成分と水素結合成分は引力F2と正の相関を示す事がわかる。また、分散成分は引力F2に対し相関を持たず、よって上の右図のF2の引力値0の時の表面エネルギー25mJ/m2は基板の分散成分によるものであることがわかる。よって、探針プローブ法によって表面の極性及び水素結合の情報を得る事が可能である。ここで探針が固体表面間の引力より受ける弾性ポテンシャルエネルギー(すなわちカンチレバーの歪みエネルギー)を見積もる。歪みエネルギーEe次式の様に表すことができる。

式
式

ここで、σは引力により探針が受けるストレス、EはSi3N4探針のヤング率(2.94×1011N/m2)、dはカンチレバーの膜厚(1μm)、Fは表面力の測定値(N)、kはカンチレバーのバネ定数(0.12N/m)、l(エル)はカンチレバーの長さ(200μm)を示す。下の左図には引力F2よって探針がうける歪みエネルギーEeと熱力学的な接着エネルギーとの相関を示している。両エネルギー間には正の相関がみられ、よって探針プローブ方式を用いて実際の接着現像を検出できる可能性が得られる。表面エネルギーの場合と同様、接着エネルギーの分散成分には相関が見られないが、極性と水素結合成分に対し相関が見られる。下の右図には接着強度と接着エネルギー成分との相関を示している。これらの間は、同様に、分散成分には殆ど依存しない事がわかる。接着エネルギーと接着強度は正の相関を示すが、分散成分によるバイアスが存在しているため、検出感度が低くなっている。

探針の歪みエネルギーと接着エネルギーとの相関
探針の歪みエネルギーと接着エネルギーとの相関
接着強度と接着エネルギーとの相関
接着強度と接着エネルギーとの相関

参考文献

お問い合わせはこちらから

ページのトップへ戻る