アドヒージョン株式会社

TOP > 基礎技術解説 > AFMによる高感度湿度センサー

基礎技術解説分析・評価・解析

AFMによる高感度湿度センサー

両面を異なる材質で構成した微細カンチレバーを大気中に暴露した場合、湿度変化に応じて微細カンチレバーにたわみ変位が生じる。Au膜とSi3N4膜を微細カンチレバーの上下面に形成した場合、相対湿度の増加に伴ってレバーはSi3N4膜側へたわんだ。また、カンチレバーの両面をAu膜で形成した場合は、たわみ変位は殆ど生じなかった。すなわち、微細カンチレバーのたわみ変位は、レバーの上下面への水蒸気の吸着特性に対して差動的に生じると考えられる。これらのメカニズムを、固体表面での水蒸気のクラスター核生成における活性化エネルギーの点から考察した。微細カンチレバーのたわみ変位を利用することにより、湿度センサーとしての応用が期待できる。

固体表面へのガスや水蒸気などの吸着挙動は、接着、クリーンネス制御、センサー、触媒反応などのメカニズム解析において基本となる要素である。特に、水蒸気の吸着制御は、接着剤の塗布・乾燥処理や耐久性改善において重要な制御項目の一つである。従来から、湿度検出には、毛髪の伸縮を利用したものから、機能性セラミックスを利用した容量変化型などのさまざまな方式がある。近年、マイクロマシン技術の発展に伴い、微細カンチレバーを用いた機能性センサーが注目されている。これらは、アルコールや有機溶剤などのガスセンサーの確立を目的としている。そこで、ここでは、水蒸気吸着に伴う微細カンチレバーのたわみ特性に注目し、湿度センサーとしての可能性を考察する。

AFM用のカンチレバー
AFM用のカンチレバー

上図には、測定に用いた微細カンチレバー(オリンパス(株)、OMCL-TR400PA-1)のSEM写真を示す。微細カンチレバーの材質はSi3N4であり、光リソグラフィ技術で作製している。このSi3N4膜は、SiH2Cl2とNH3の混合ガスを用いた減圧CVD(Chemical vapor deposition)法により作製した。微細カンチレバーはV字形をしており、台座までの高さは100μm、一辺の幅は13.4μm、厚さは10μmである。また、微細カンチレバーのたわみ(deflection)とねじれ(torsion)方向のばね定数は、それぞれ0.089N/mと84N/mである。すなわち、この微細カンチレバーは、たわみやすく、ねじれにくい性質であることが分かる。よって、微細カンチレバーのたわみ変位だけを精度高く検出するのに適している。

各カンチレバーによる湿度変化への応答性
図2 各カンチレバーによる湿度変化への応答性

上の図2(a),2(b)には、チャンバー内の湿度変化に対する微細カンチレバーのたわみ変位(電圧表示)、及びヒステリシス特性を示している。ここで、たわみ変位の正の値は、水平に置かれた微細カンチレバーが下側にたわんでいることを示している。まず、チャンバー内を十分乾燥させて4%RHに達した時を測定開始点(P点)とした。次いで、相対湿度を40%RHまで徐々に増加させた。そして、加湿・乾燥サイクルを連続で数回行ってたわみ変位を測定した。図2(a)のように、Au/Si3N4の微細カンチレバーでは、湿度増加に伴って下面のSi3N4膜側へたわむことがわかる(図中(A))。また、ヒステリシスは、反時計方向に存在しているのがわかる。特に、乾燥時(B)は、微細カンチレバーのたわみ変位の減少量が、加湿時(A)に比べて少ないことがわかる。これは、微細カンチレバー表面に存在する微細な凹凸形状により水蒸気の毛管凝縮が生じたため、乾燥時に水蒸気が脱離しにくくなったことが原因として考えられる。特に、微細カンチレバー下面のSi3N4表面において毛管凝縮が顕著であると考えられる。このような固体表面での脱着過程におけるヒステリシス現象は、BET(Brunauer, Emmett, Teller) 法などによるヒステリシス等温線においても報告されている。一方、図2(b)のように、Au/Auで構成された微細カンチレバーの場合は、Au/Si3N4レバーに比べて、たわみ変位とヒステリシスが少ないことがわかる。よって、以上のことから、異なる材質で構成した微細カンチレバーを用いた場合、各膜の水蒸気に対する吸着特性の差が、たわみ変位として現われたことがわかる。

液滴の核生成
液滴の核生成

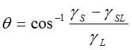
ここで、Si3N4膜とAu膜における水蒸気の吸着特性に着目して、微細カンチレバーに生じるたわみ変位のメカニズムを考察する。一般に固体表面へのガス分子の吸着及び脱離特性は、クラスター核生成モデルとして解析できる。まず、上図にあるように、平面基板上に吸着した表面エネルギーがγLである微小クラスター核の曲率半径をr、基板との接触角をθとする。ガス分子の吸着および脱離に伴うクラスター核生成の活性化エネルギーGは、熱力学的には以下のように定義される。

式

ここで、gvはクラスター核の凝集エネルギーである。また、f(θ)は生成核の形状パラメータであり、以下のように定義される。

式(4)
式
カンチレバー材料の表面エネルギーと成分(mJ/m2)
カンチレバー材料の表面エネルギーと成分(mJ/m2)

ここで、γSLはクラスター核(微小液滴)と基板間の界面エネルギーである。ここで、クラスター核の成長過程における基板材質の違いは、(4)式の形状パラメータf(θ)に反映される。そこで、クラスター核の形状パラメータf(θ)を見積もる。上表には接触角法で求めたSi3N4膜、Au膜の表面エネルギーと成分値を示している。また、水蒸気のクラスター核と基板との界面エネルギーγSLは、以下の式を用いて計算する。但し、水蒸気のクラスター核の表面エネルギーと成分には、前述の純水の値を用いた。γSLの計算結果は、上表にまとめている。

式

計算の結果、水蒸気の吸着を考えた場合、Si3N4膜およびAu膜上でのクラスター核生成の活性化エネルギー比(G SiN, /GAu)は、以下のように求められた。

式

すなわち、Si3N4膜上でのクラスター核生成の活性化エネルギーは、Au膜上に比べて約1/10であることがわかる。よって、水蒸気のクラスター核の生成および消滅は、Si3N4膜の方がAu膜よりも容易であることが推測できる。

水蒸気吸着によるカンチレバーの変形
水蒸気吸着によるカンチレバーの変形

以上の活性化エネルギーの考察から、上図にあるように、水蒸気の吸着及び脱離に伴う微細カンチレバーのたわみ変位のメカニズムを考察する。ここで、Si3N4膜上の吸着量をΔx、Au膜上の吸着量をΔyとすると、前述の微細カンチレバーの変位Δzは、次式で表される。

Δz=k(Δx-Δy)

ここで、kは比例定数であり、各膜のばね定数の関数として表される。加湿過程における微細カンチレバーのたわみ変位は、クラスター核が成長し結合することにより、連続膜を形成した時に生じた張力が原因であると考えられる。ここでは、水蒸気のクラスター核の成長がSi3N4膜上で顕著であることから、上式の(Δx-Δy)の値が増大し、微細カンチレバーはSi3N4膜側にたわんだものと考えられる。また、乾燥過程においても、Si3N4膜上での水蒸気膜の細分化と脱離が顕著に生じ、Au膜よりも早くクラスター核が消滅したと考えられる。しかしながら、前述の毛管凝縮の作用により、加湿と乾燥サイクル間においてヒステリシスが生じると考えられる。

以上のように、この微細カンチレバー型センサーは、異なる材質間の表面活性度の差、あるいは、反応速度の差などをリアルタイムで検出できる差動型センサーとして機能することがわかる。また、カンチレバーの片方の材質を固定すれば、ガス吸着センサーとして定量的な測定が可能になると考えられる。また、吸着媒体として、貴金属から高分子膜などの幅広い材料が利用できるため、さまざまなガス吸着に対応できると考えられる。しかしながら、微細カンチレバー型センサーには、図2(a)のようなヒステリシス低減の課題がある。解決策としては、レバー表面で生じる毛管凝縮を抑制するために、表面凹凸の少ない膜を形成するか、エピタキシャル成長技術により単結晶膜を形成することなどが有効である。また、センサーとしての高感度化には、微細カンチレバーのサイズをさらに小さくして、ばね定数を下げることが有効である。現在では、ばね定数が0.02N/mの微細カンチレバーが市販されている。また、他の分野への応用として、微細カンチレバー型センサーを真空中で動作させると、残留ガスの吸着を利用した熱源を有さない真空ゲージとしての作用が期待できる。今後、微細カンチレバーの高機能化に伴い、適用範囲が広がるものと考えられる。

お問い合わせはこちらから

ページのトップへ戻る