アドヒージョン株式会社

TOP > 基礎技術解説 > 乾燥速度・乾燥限界

基礎技術解説コーティング

乾燥速度・乾燥限界

乾燥過程について、エネルギー収支に基づいてメカニズムを考察する。下の左表と右表は、各溶剤の蒸発エンタルピー、および、水の飽和蒸気圧の温度依存性を示している。溶剤の蒸発は、蒸発エンタルピーΔHが低いほど容易である。また、有機溶剤はエンタルピーが低く蒸発しやすいことが分かる。水の飽和蒸気圧は、環境温度が高いほど大きくなり、溶剤の蒸発が加速される。飽和蒸気の気体では、温度低下により凝縮し結露を生じる。よって、乾燥のしやすさも考慮して溶剤を選択する必要がある。ここで、乾燥プロセスにおけるエネルギー収支を考える。

蒸発エンタルピー(蒸発熱)
蒸発エンタルピー(蒸発熱)
水蒸気圧と蒸発
水蒸気圧と蒸発
塗膜からの溶剤蒸発メカニズム
塗膜からの溶剤蒸発メカニズム

右図は、乾燥過程におけるエネルギー移動を表している。溶剤を含む塗膜の乾燥を行う場合、エネルギー保存則が成り立つため、周囲から塗膜に供給されるエネルギーE1は、塗膜の温度上昇のエネルギーE2と蒸発による消費エネルギーE3の和で表せる。ここで、T1は周囲の温度であり、乾燥装置内の温度に相当する。T2は塗膜の温度である。また、Pは塗膜内の溶剤の蒸気圧であり、PSは周囲の温度での飽和蒸気圧を表す。ここで、乾燥前は、温度差(T1-T2)が大きいため、供給熱エネルギーE1が大きくなる。しかし、塗膜はまだ低温であるため(PS-P)が小さく乾燥は始まらない。このプロセス初期の期間は、消費エネルギーE3が小さいため、乾燥は殆ど起こらず、塗膜の温度上昇Tが生じる。塗膜の温度上昇により温度差(T1-T2)が小さくなるため、乾燥装置からの供給エネルギーE1が小さくなる。また、周囲の温度上昇に伴い、飽和蒸気圧PSも大きくなる。よって、蒸気圧差(PSP)が大きくなり、蒸発に伴う消費エネルギーE3が増加する。この間、塗膜の温度上昇はなくなり、乾燥期間中の塗膜の温度は一定となる。やがて、残留溶剤量が少なくなると、供給エネルギーは試料の温度上昇に費やされる。

乾燥期間と乾燥速度
乾燥期間と乾燥速度

以上の考えに基づき、上図に、塗膜の乾燥プロセスおよび乾燥時間をまとめている。乾燥初期は塗膜の温度上昇に熱エネルギーが消費される。乾燥が始まれば塗膜の温度上昇は無くなり、一定の乾燥速度で乾燥する。最終段階で塗膜の温度が十分上昇すると、塗膜表面と内部の温度差が生じる。よって、耐熱性の低い塗膜を熱乾燥する場合は、乾燥が完了する前に加熱を停止し塗膜の温度上昇を防ぐ必要がある。

塗膜内の溶剤拡散
塗膜内の溶剤拡散

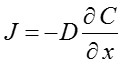
塗膜の乾燥モデルとして、塗膜内の溶剤の拡散現象に注目する。右図のように、塗膜表面から溶剤が蒸発することで、膜内の溶剤分布が不均一となる。そのため、溶剤の拡散は残留溶剤が均一になるように働く。一般に、拡散現象はFickの法則として表される。下式はFickの第1法則である。

式
濃度差拡散
濃度差拡散

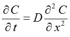
Jは拡散物質の流量、Dは拡散係数、Cは濃度、xは膜内の位置を表す。よって、拡散流量Jは、右図のように、濃度差と拡散係数に比例する。塗膜が飽和蒸気圧下にある場合、溶剤の蒸発は生じず、塗膜内の溶剤分布にも変化がない。よって、乾燥速度を高めるには、塗膜内の溶剤の濃度差を高くすることが効果的である。以下はFickの第2法則を示している。

式

上式では、拡散種濃度の位置xと時間t依存性を表している。下図(a),(b)には、拡散種が無限に存在する場合と、拡散種が有限の場合(通常乾燥に相当)における濃度曲線を示している。x=0において拡散種が無限にある場合、溶剤濃度は変化せず膜全体の溶剤濃度が上昇し均一となる。拡散種が有限の場合、x=0の濃度は減少するが離れた位置の濃度は増加し均一となる。通常の乾燥プロセスは後者である。よって、乾燥コントロールには、塗布膜内の残留溶剤の濃度と時間制御が重要となる。

(a)濃度差拡散(拡散種が無限に存在)(b)拡散種が有限の場合(通常乾燥に相当)
(a)濃度差拡散(拡散種が無限に存在)(b)拡散種が有限の場合(通常乾燥に相当)

塗膜から溶剤が蒸発する過程で、下図のように、残留溶剤によりラプラス力が発生し膜内の凝集が始まる。ラプラス力の作用により、塗膜の凝集性が均一化される。凝集性の良質な塗膜を形成するために、ラプラス力は重要な働きをする。

塗膜の乾燥
塗膜の乾燥
ラプラス力
ラプラス力

一般に、ラプラス力Fは、右図のような2つの球体の系において、以下のように定義される。

式

ここで、R1とR2はメニスカスの曲率半径である。γは液体の表面張力を表す。下図は乾燥後の微小球の凝集状態の拡大写真である。凝集により、直径の等しい微小球は、細密充填構造を構成する。また、サイズが異なる微小球では、小さい球が大きい球を囲むように配置する。このように、小さいサイズの固体ほど凝集性を支配することとなる。乾燥過程におけるラプラス力は、塗膜のミクロ構造形成に大きく影響する。

ラプラス力による微小粒子の凝集
ラプラス力による微小粒子の凝集

お問い合わせはこちらから

ページのトップへ戻る