アドヒージョン株式会社

TOP > 基礎技術解説 > 屈折率による膜の浸透・膨潤解析

基礎技術解説コーティング

屈折率による膜の浸透・膨潤解析

物質の凝集性は、固体および液体として機能性を発現させるために重要な物性である。凝集性を表す物理量には、硬さ、硬度、粘性、分子量分布、ヤング率、応力、歪み、塑性、脆性、摩擦、摩耗などのように多種多様である。その殆どは、荷重印加や熱などの外部刺激に対する応答として測定するため、一種の破壊試験に位置づけられる。最近では、ソフトマターのような凝集性の弱い新材料分野が注目されており、これらは機械的試験法では解析しにくい。一般に、高分子材料は無機金属材料とは異なり、その構造内にナノスケールの空間を有している。よって、高分子膜内には、水分や気体などが容易に浸透し、膨潤や収縮が生じる。下図はアルカリ水溶液中に浸漬した高分子パターンの膨潤・軟化による変形を示している。このような凝集性の低い材料の場合は、屈折率を用いた手法が適している。屈折率は光学材料や分光分析の分野で重要な物理量であるが、その値には材料の凝集性が反映されている。また、屈折率の測定は、一般的に非破壊で行えるため、ソフトマターや微小試料にも有効である。

アルカリ水溶液の浸透による高分子膜の軟化・膨潤
アルカリ水溶液の浸透による高分子膜の軟化・膨潤

下の右図はノボラック樹脂をベースとした高分子膜に対して、絶対膜厚(触診式)と屈折率(エリプソメーター)の測定結果を示している。この場合、アルカリ水溶液に浸漬させた時間を横軸に示している。浸漬時間の増加に伴い膜厚が増加することから、アルカリ水溶液が高分子膜中へ浸透し、膜の膨潤が生じたと考えられる。また、屈折率は浸漬時間に伴い減少していることが分かる。

アルカリ水溶液の浸透による高分子膜の軟化・膨潤
アルカリ水溶液の浸透による高分子膜の軟化・膨潤
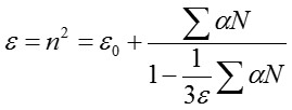
式

ここで、εは誘電率、Nは分子数密度であり、αは分子分極率である。分子構造が大きく変化しない場合、分子分極率αは一定として扱う。すなわち、この式に基づけば、屈折率変化は分子数密度の増減をそのまま反映することとなる。よって、右図の高分子膜の屈折率低下は、アルカリ水溶液の浸透と膨潤によって、分子数密度が低下し膨潤が生じたことを示唆している。このように、屈折率測定によって、非接触で高感度に材料の凝集性を解析できる。屈折率は、エリプソメーター、アッベ屈折計、光干渉法など用いて容易に測定できる。また、薄膜、バルク、溶液などの様々な試料状態で測定可能である。

参考文献

お問い合わせはこちらから

ページのトップへ戻る